有源滤波器基础与设计
有源滤波器基础与设计
滤波器设计里最容易陷入的误区,是只盯着“截止频率怎么算”。真正决定效果的,其实还包括阶数、滚降率、通带平坦度、相位响应和实现拓扑。
1. 从一阶低通开始

一阶低通的典型传递函数可以写成:
$$
A(S)=\frac{1}{1+SRC}
$$
其中截止频率满足:
$$
f_c = \frac{1}{2\pi RC}
$$
这类滤波器的特点很清楚:
- 结构简单
- 每增加一阶,滚降率大约增加
-20 dB/dec - 截止区附近的过渡带并不陡峭
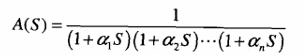
多个一阶低通串联后,传递函数的阶数会提高:

2. 为什么单纯 RC 不够
四阶无源 RC 低通虽然理论上可以获得更快滚降,但它并不完美:

实际问题主要有三类:
- 截止前增益已经开始变化
- 通带与阻带之间存在明显过渡区
- 相位响应通常不够理想
这也是为什么工程上常常要转向二阶节的有源实现。
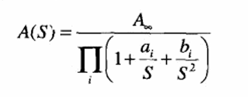
3. 二阶原型和极点分配
把滤波器拆成多个二阶节之后,常用标准形式一般写成:

不同原型的差异,本质上体现在极点位置不同,也就是系数 a_i、b_i 不同。设计时通常会先查原型表,再把目标频率和增益缩放进去。

4. 三种最常见的低通原型
4.1 巴特沃斯
巴特沃斯滤波器最大的特点,是通带尽量平坦。

适合场景:
- 希望通带内幅度变化尽量小
- 对相位没有极端苛刻要求
- 想要一个整体比较均衡的设计
4.2 切比雪夫
切比雪夫滤波器允许通带纹波,以换取更快的过渡带滚降。

适合场景:
- 想要更陡的截止边缘
- 能接受通带内一定幅度起伏
4.3 贝塞尔
贝塞尔滤波器更关心相位线性和群延迟平坦。


适合场景:
- 脉冲或波形保真度比幅频曲线更重要
- 希望时域失真更小
5. 品质因子 Q 为什么重要
对于二阶节,品质因子 Q 直接反映极点位置和响应尖锐程度。Q 越高,选择性越强,但对元件误差和稳定性的要求也越高。
实际设计里常见的经验是:
- 多个滤波级串联时,通常按
Q从小到大排列 - 奇数阶滤波器往往会在前面放一个一阶节
- 高 Q 节通常更敏感,应优先留给更稳定的拓扑和器件
6. 低通滤波器的参数设计

做低通设计时,一般先确定三件事:
- 截止频率
f_c - 通带增益
A_0 - 原型类型和阶数
6.1 一阶低通
同相一阶低通:

反相一阶低通:

这类结构适合做简单抗混叠、噪声抑制或多级系统里的最前级整形。
6.2 二阶低通
Sallen-Key 结构

Sallen-Key 的优点是:
- 结构直观
- 输入阻抗高
- 适合中低 Q 的应用
多路反馈 MFB 结构

MFB 结构通常更适合较高 Q 的设计,参数自由度也更高,但推导和调试相对更繁琐。
7. 高通滤波器的设计思路
高通设计可以理解为低通原型的一种变换:低频被抑制,高频成为通带。


7.1 一阶高通

一阶高通常用于:
- 去除传感器直流偏置
- 去除缓慢漂移
- 做交流耦合输入
7.2 二阶高通

二阶高通同样可以继续沿用低通原型的设计思路,只是元件位置和目标频段发生了变化。

8. 一条实用设计流程
如果要从零开始做一个有源滤波器,通常可以按下面顺序推进:
- 明确目标:低通、高通、带通还是带阻
- 确定截止频率、通带增益、允许纹波和相位要求
- 选择原型:巴特沃斯、切比雪夫或贝塞尔
- 确定阶数,再拆成若干一阶/二阶节
- 选择实现拓扑:Sallen-Key 或 MFB
- 根据标准形式求阻容值
- 最后再检查运放带宽、摆幅、噪声和元件容差
9. 小结
有源滤波器的设计主线,其实一直很统一:先定响应目标,再定原型和阶数,最后才是拓扑与元件值。只要把“频率响应目标”和“具体实现电路”这两层分开看,很多原本看起来杂乱的公式就会变得有条理。


