运放非理想特性与闭环误差
运放非理想特性与闭环误差
理想运放分析依赖“虚短、虚断”这两个近似,但真实运放并不满足无限开环增益、无限带宽和无限共模抑制比。工程上更有用的做法,是直接把有限开环增益带回闭环方程,观察误差如何出现、如何被反馈压低。
1. 非理想运放的核心出发点
非理想运放最关键的结论只有一句话:
- 理想条件下近似成立的“虚短、虚断”,在真实器件上都只是近似
在低频和高环路增益条件下,这个近似足够好;但当频率上升、开环增益下降时,闭环误差就会逐渐变得明显。

如果把闭环系统写成标准形式,可以得到一个非常重要的误差关系:
$$
E = \frac{V_{in}}{1 + A\beta}
$$
这里:
A是运放开环增益\beta是反馈系数A\beta是环路增益
这说明闭环误差与输入成正比,与环路增益成反比。也就是说,反馈本质上是在“用大环路增益压低误差”。
2. 同相放大器中的非理想误差

对于同相放大器,输入信号直接进入同相端,反相端则接收来自输出的分压反馈。把真实开环增益代入之后,可以得到闭环增益不再完全等于理想公式,而是带有有限 A 的修正项。

当 A\beta \gg 1 时,闭环增益会回到熟悉的理想近似值;但一旦频率升高、开环增益下降,闭环增益就会开始偏离理想值。
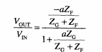
3. 反相放大器中的非理想误差

反相放大器的推导路径不同,但本质并没有变:输出误差同样受限于有限开环增益,而不是只由电阻比决定。

一个很重要的认识是:
- 同相与反相的输入形式不同
- 但只要反馈网络相同,环路增益的本质控制关系是一致的
这也是为什么很多稳定性讨论更关注反馈网络和极点分布,而不是先看你把信号送到哪一个输入端。
4. 差分放大器同样逃不开有限增益

对于差分放大器,开环关系可以写成:
$$
V_{out} = A(V_+ - V_-)
$$
这意味着只要 A 不是无限大,输入差值就不可能被完全压缩到零。差分输入端之间始终存在一个有限误差电压,只是在高环路增益条件下它足够小,常常被忽略。

5. 从公式回到工程
这些推导真正有价值的地方,不在于把公式记下来,而是下述几点:
- 闭环增益不是凭空准确,而是靠开环增益和反馈逼近出来
- 环路增益越大,闭环越接近理想
- 高频下开环增益下降,闭环误差会变大
- 共模抑制、失调、电流偏置等非理想项,在高精度或高频设计里都不能忽略
因此,做运放选型时不能只看负反馈,还要看:
- 开环增益是否足够大
- 增益带宽是否覆盖工作频率
- 负载和输出摆幅是否匹配
- 精度目标是否允许这些非理想误差存在
6. 小结
非理想运放分析并不是推翻理想模型,而是告诉我们:理想模型为什么在很多时候有效,以及它会在什么条件下失效。只要抓住 A\beta 这个核心量,很多闭环误差、稳定性和带宽问题都会更容易理解。


